Topics 589
Fall 2003
HOMEWORKS and NOTES


Below is a listing of the current homework, the past homeworks assigned in 2003, and the exams (to date, just Exam I) given thus far.


Seventh Homework assignment: (PS, GIF), Due December 2.


Sixth Homework assignment: (PS, GIF), Due November 18.

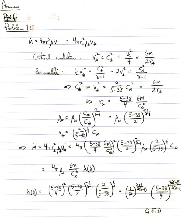
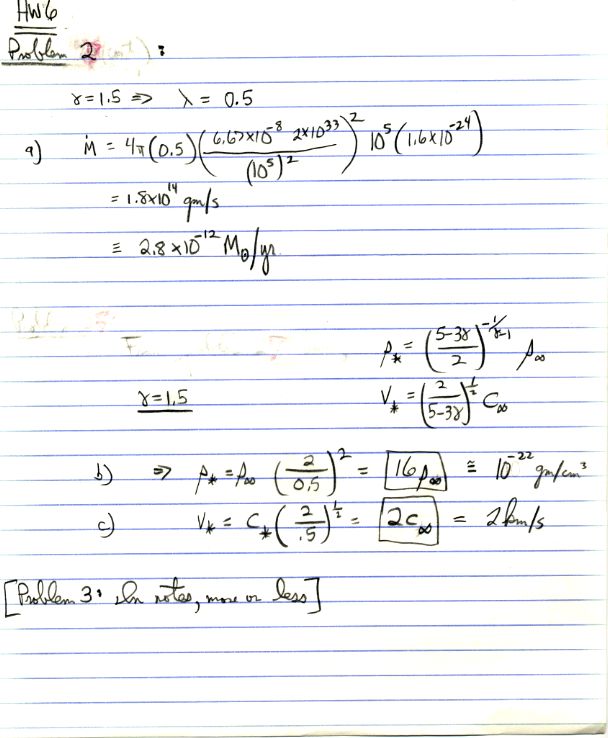
Solutions HW 6: p. 1.

Solutions HW 6: p. 2.


Fifth Homework assignment: (PS, GIF), Due November 4.

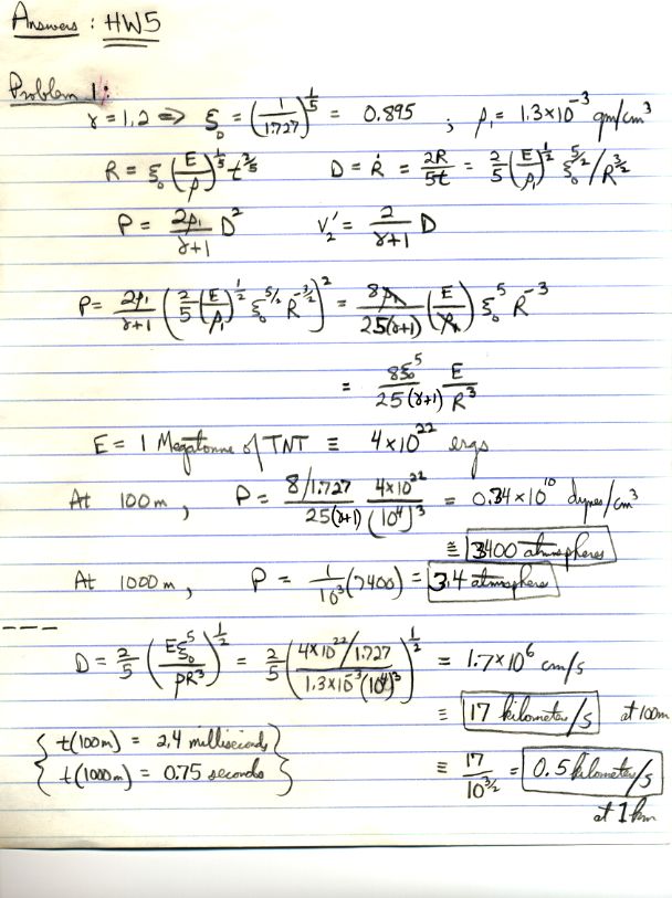
Solutions HW 5: p. 1.

Solutions HW 5: p. 2.

Solutions HW 5: p. 3.


Fourth Homework assignment: (PS, GIF), Due October 23.

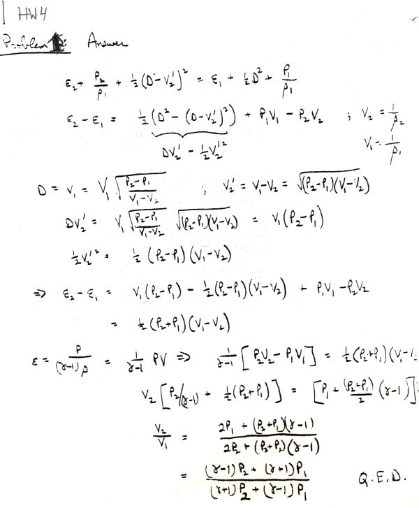
Solutions HW 4: p. 1.

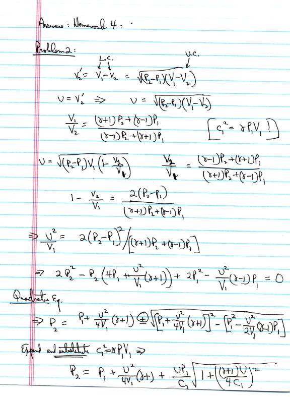
Solutions HW 4: p. 2.

Solutions HW 4: p. 3.


Third Homework assignment: (PS, GIF), Due October 7.

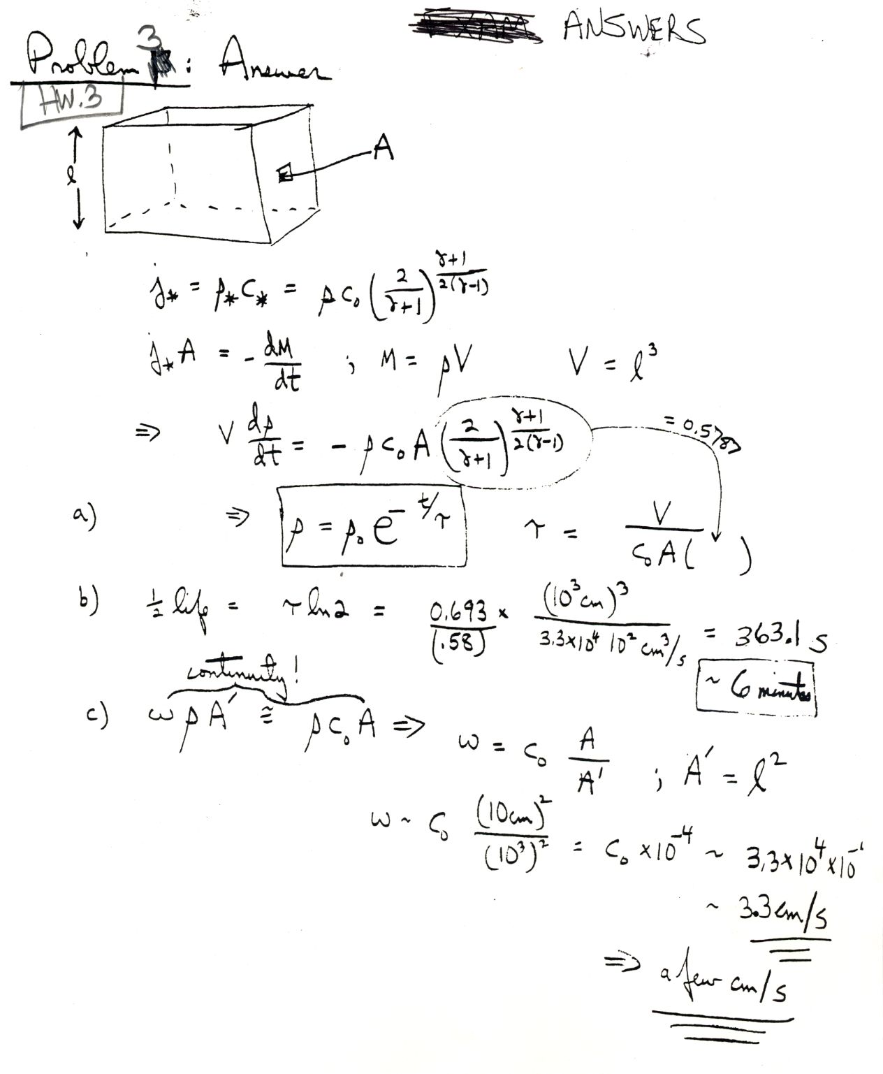
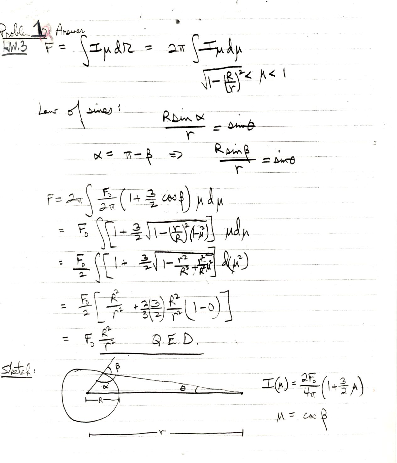
Solutions HW 3: p. 1.

Solutions HW 3: p. 2.

Solutions HW 3: p. 3.


Second Homework assignment: (PS, GIF), Due September 23.

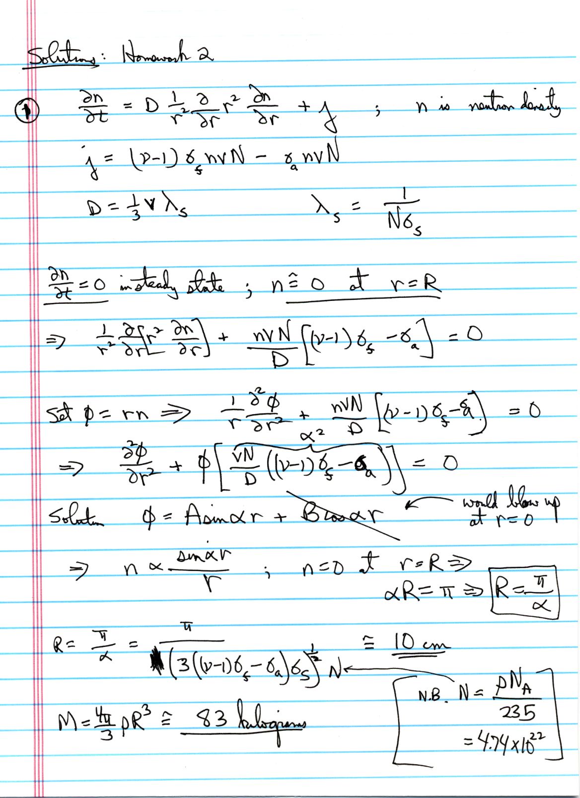
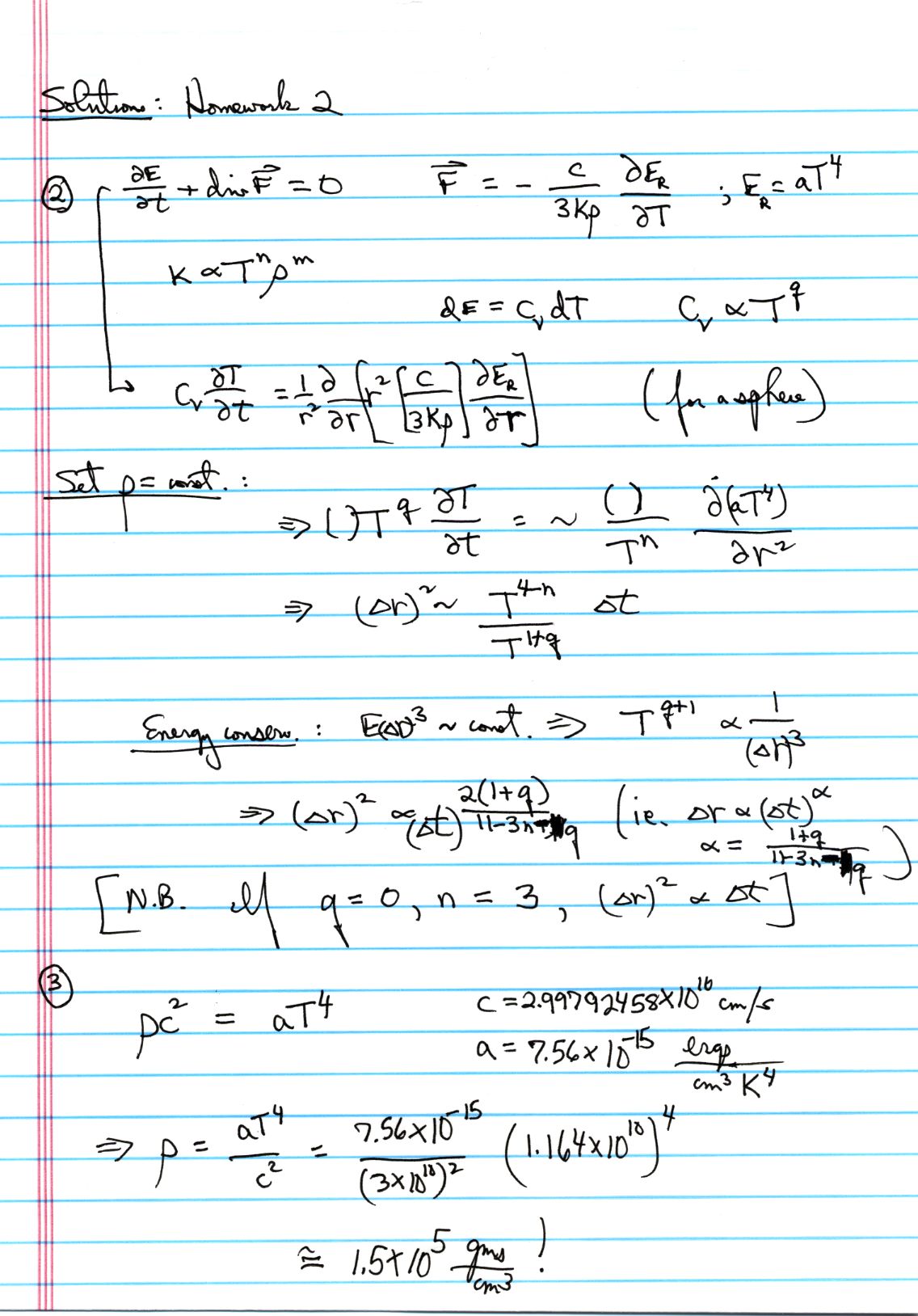
Solutions HW 2: p. 1.

Solutions HW 2: p. 2.


First Homework assignment: (PS, GIF), Due September 9.


First Exam: (PS), held October 16, 2003:

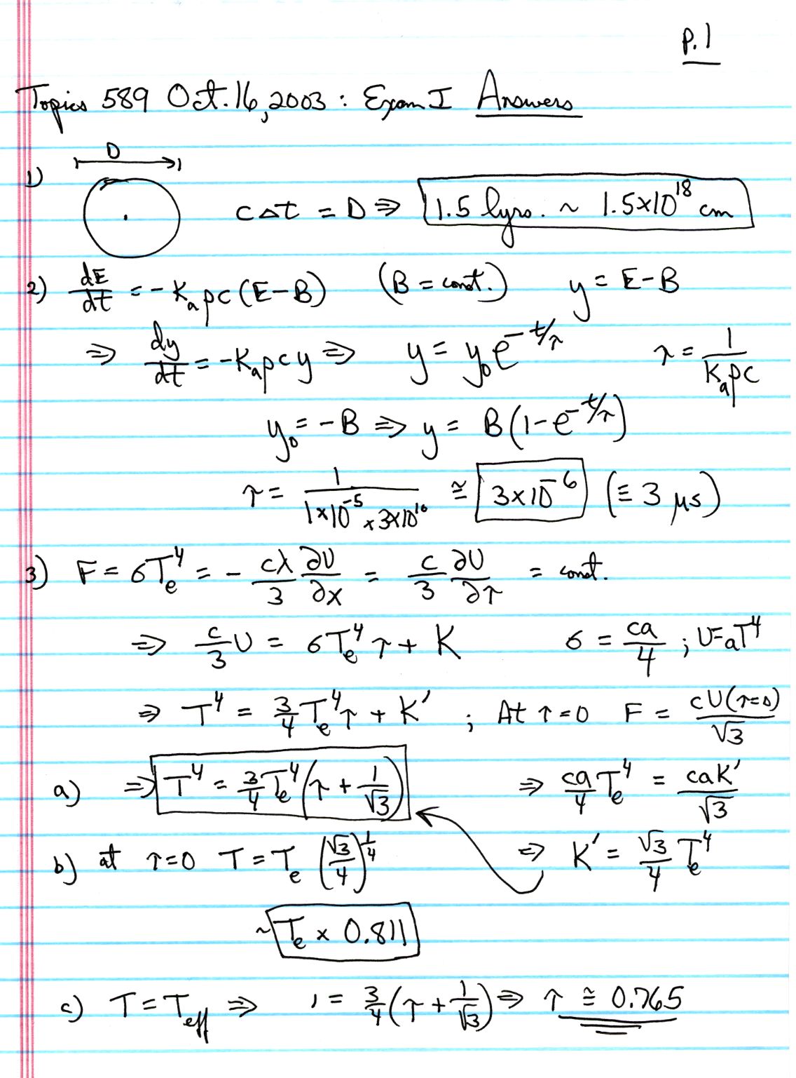
Solutions Exam I: p. 1.

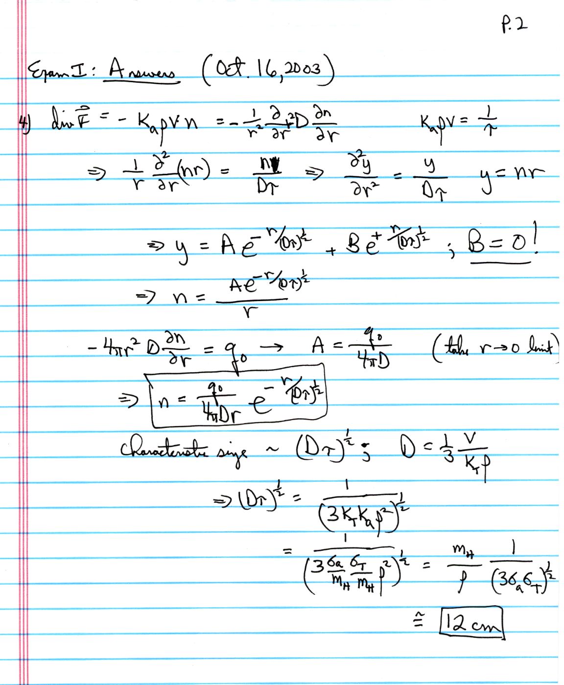
Solutions Exam I: p. 2.

Solutions Exam I: p. 3.


Below are supplementary Notes on various topics.


Notes:


Last modified: Sunday, September 21, 2003