Comparing Thermalization Processes Spectrally
|
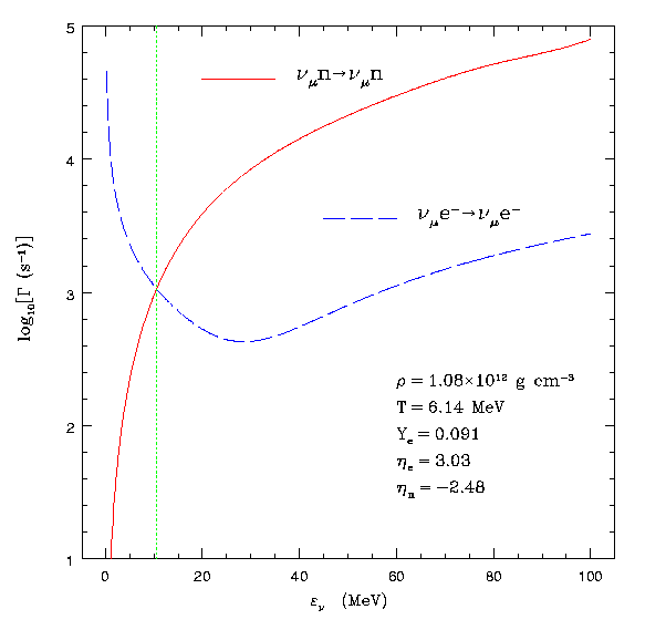
The thermalization rate as a function of neutrino energy for
neutrino-neutron scattering (red, solid) and neutrino-electron scattering
(blue, dashed) for the thermodynamic conditions specified in the figure.
The green vertical dotted line denotes the crossing point at
approximately 10 MeV. Below this neutrino energy, neutrino-electron
scattering clearly dominates. Above, neutrino-nucleon scattering
dominates thermalization by more than an order of magnitude.
Much effort by supernova theorists has been put in to including the full
energy redistribution scattering term in the neutrino Boltzmann equation.
Neutrino-nucleon scattering has been completely neglected as an
energy exchange mechanism. This figure shows clearly that it should
no longer be ignored.
Although the calculation shown here was carried out for specific temperature, density, and composition this result holds generically at all points tested in several collapse profiles. Nuetrino-nucelon scattering always dominates mu and tau neutrino thermalization for neutrino energies above about 10-20 MeV. |