Instabilities
Rayleigh-Taylor instability
Heavy fluid
Light fluid
Heavy accreting matter supported against gravity by light magnetospheric matter — Rayleigh-Taylor unstable
3D MHD Simulations of Instabilities
Wang & Robertson 1985, Rastätter & Schindler 1999, …
Nonlinear development of the magnetic Rayleigh-Taylor instability
(Stone & Gardiner 2007)
Instabilities in 3D simulations
Accretion through instability (Q ≤ 30o)
- Tall, thin tongues of matter in equatorial plane
- Sneak through magnetosphere
- Hit star closer to equator than funnels
Funnel accretion
- Wide and flat funnels
- Go around magnetosphere
- Hit star near magnetic poles
Kulkarni & Romanova 2008
Structure of magnetosphere
Tongues push aside magnetic field lines
Dependence on the accretion rate
Q = 5o
Instability disappears at low accretion rates
Comparison with Theory
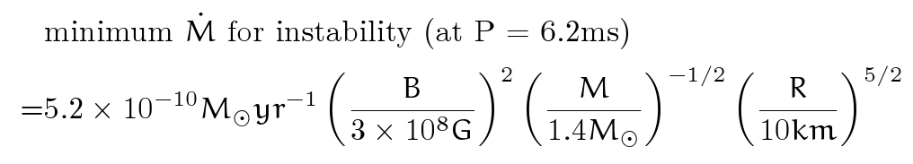
Instability criteria
Arons & Lea 1976 (spherical accretion)
Kaisig, Tajima & Lovelace 1992 (thin disk, vertical field)
Spruit et al. 1995 (thin disk with vertical and radial field)
geff = effective gravity
S = surface density
Li & Narayan 2004 (thick disk, sharp boundary, vertical field)
Simplifications in theoretical models
- Only vertical magnetic field
- Disk either razor-thin or infinitely thick
- Disk-magnetosphere boundary either too sharp or doesn't exist
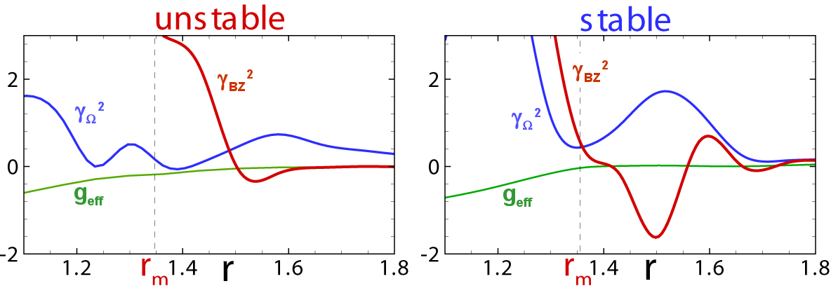
Comparison with Theory
Instability criteria
Spruit et al. 1995
geff = effective gravity
S = surface density
Regimes of instability
Dependence on the misalignment angle
Instability disappears for Q > ~30o
For large misalignment angles, funnel flows energetically more favorable
Artifact of grid?
Number and behavior of tongues unaffected by grid resolution
Width of each tongue spanned by many grid cells: therefore, instability not triggered by individual grid cells
No, the effect is real!
Accreting Millisecond Pulsars (AMP)
- Some AMP show period
- Majority show NO period, but Quasi-Periodic Oscillations (QPOs)
- Intermittent pulsations
Power spectrum of SAX J1808.4-3658 during its 2002 outburst (Wijnands et al. 2003)
Relativistic Effects on Lightcurves
- General relativity: Light bending, gravitational redshift (Beloborodov 2002)
- Doppler: Motion of hotspots
- Light travel time: Different from different parts of star
Variability — Unstable Accretion
Kulkarni & Romanova 2009
Can this produce QPOs?
Simulated light curve
(Bachetti, Romanova, Kulkarni, Burderi & di Salvo 2009)
- Stellar frequency (continuous) + wavetrains (discrete)
- Mimic observations — generate Poissonian events
- Perform timing analysis of generated events
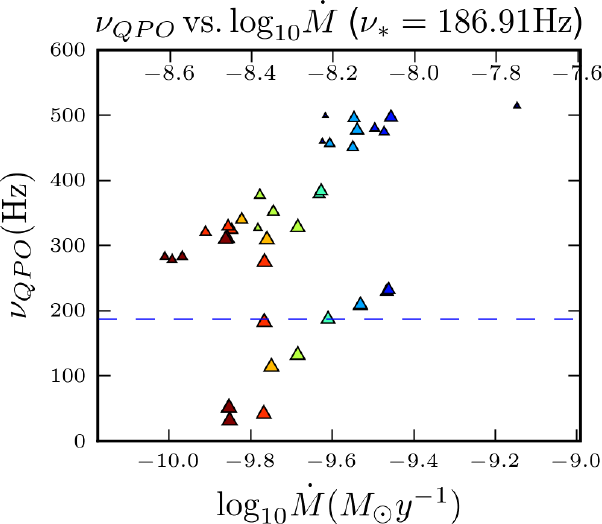
QPOs from simulated light curves
(Bachetti et al. 2009)
Tracking Hot Spot Motion
Hot Spot Rotation Rates
Disk frequency (and QPO frequencies) increase with accretion rate:
agrees with observations!
Small Magnetospheres — QPOs
Disk frequency (and QPO frequencies) increase with accretion rate:
agrees with observations!
Twin QPOs from Simulations
(Bachetti et al. 2009)
Upper QPO: tongues
Lower QPO: funnel precession
Implications
- Possibility of observing Quasi-Periodic Oscillations (QPOs)
- Pulse detectability: Pulsations can be absent even if the magnetic field is not buried
- Intermittency naturally expected for pulsars at boundary between regimes
Conclusions
- Accretion through instabilities expected to be fairly common, for relatively small misalignment angles, Q > ~30o
- Stable vs. unstable accretion: ordered vs. chaotic matter flow and lightcurves
- May help explain some of the puzzling behavior in young stars and accreting neutron stars
- Quasi-periodic oscillations in accreting pulsars
- Intermittency of some accreting pulsars
Velocity distribution in the tongues
Cubed-sphere grid
Cubed-sphere grid — cutaway view
Computing Facilities
Columbia SGI Altix supercomputer (NASA): 14,000 processors
+ Pleiades (NASA)